数学専門塾 北大数学
北大数学の特徴と勉強法
当塾では、北大を目指す高校生に北大数学の特徴と勉強法を詳しく解説し、オリジナルの北大対策問題集を使って答案作成力を強化しています。
北大志望の方は以下の傾向と対策を参考にしていただき、できれば問題を解いてみましょう。
北大理系数学
出題傾向
大問5題を120分で解きます。
すぐに解ける易問や歯が立たない難問は少なく、オーソドックスな問題が並びます。
小問の誘導に乗って粘り強く計算する力が求められます。
最重要テーマと典型題を以下に示します。
(医学部保健学科看護学・作業療法学志望の方は北大文系数学を参照してください。)
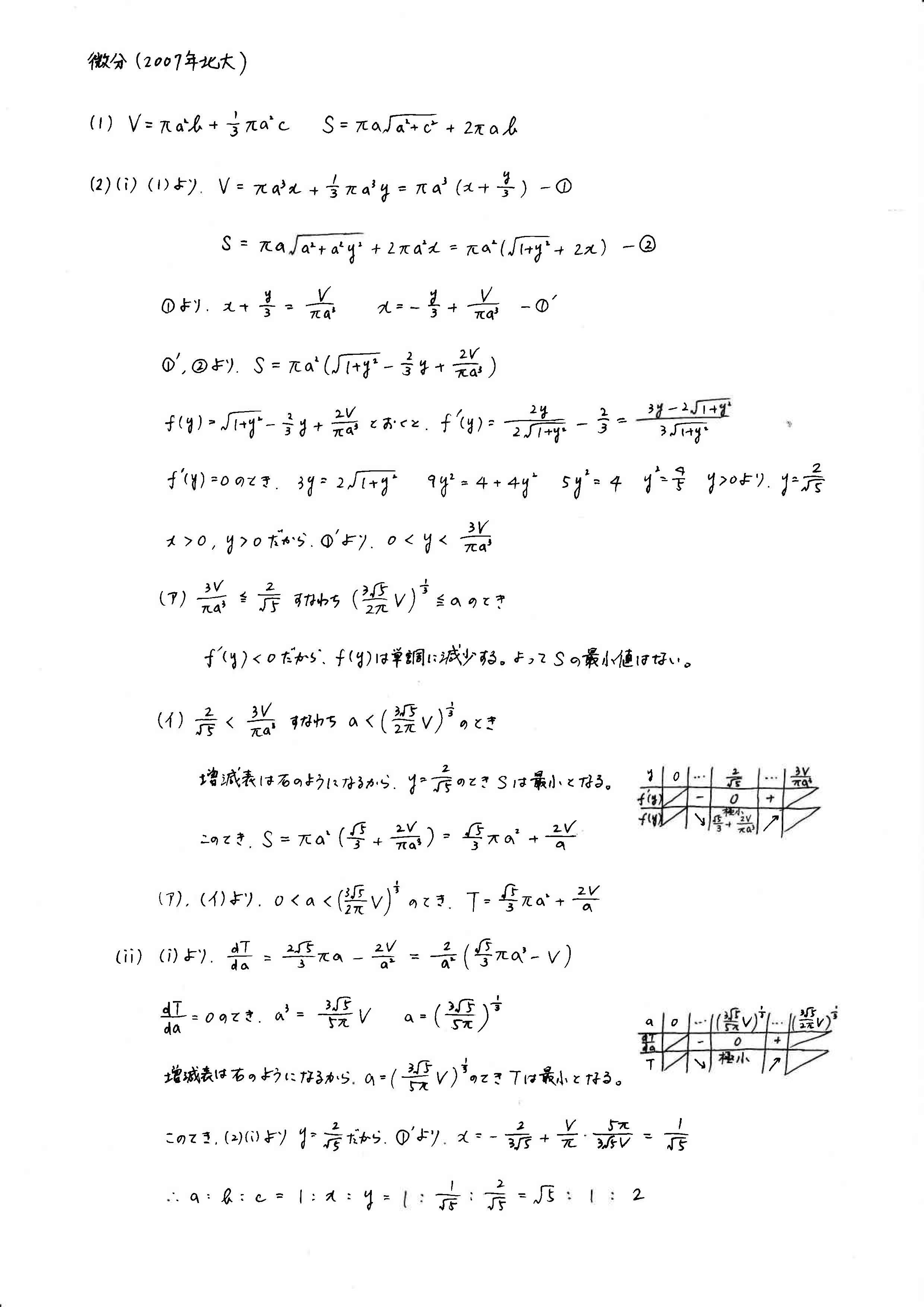
① 微分
増減表を書いて最大値・最小値を求める問題が多い。
置き換え後の平方完成や相加・相乗平均の関係が有効な場合もあるので、解法選択力を磨きたい。
② 積分
置換積分や部分積分を駆使して定積分・面積・回転体の体積を求める問題が出る。
三角関数の微積分で頭と手が速く連動するようにしたい。
③ 図形
座標上の図形について、方程式・ベクトル・複素数で分析するタイプが頻出する。
三角比、三角関数、円、領域、2次曲線の問題を多く解いて幅を広げたい。
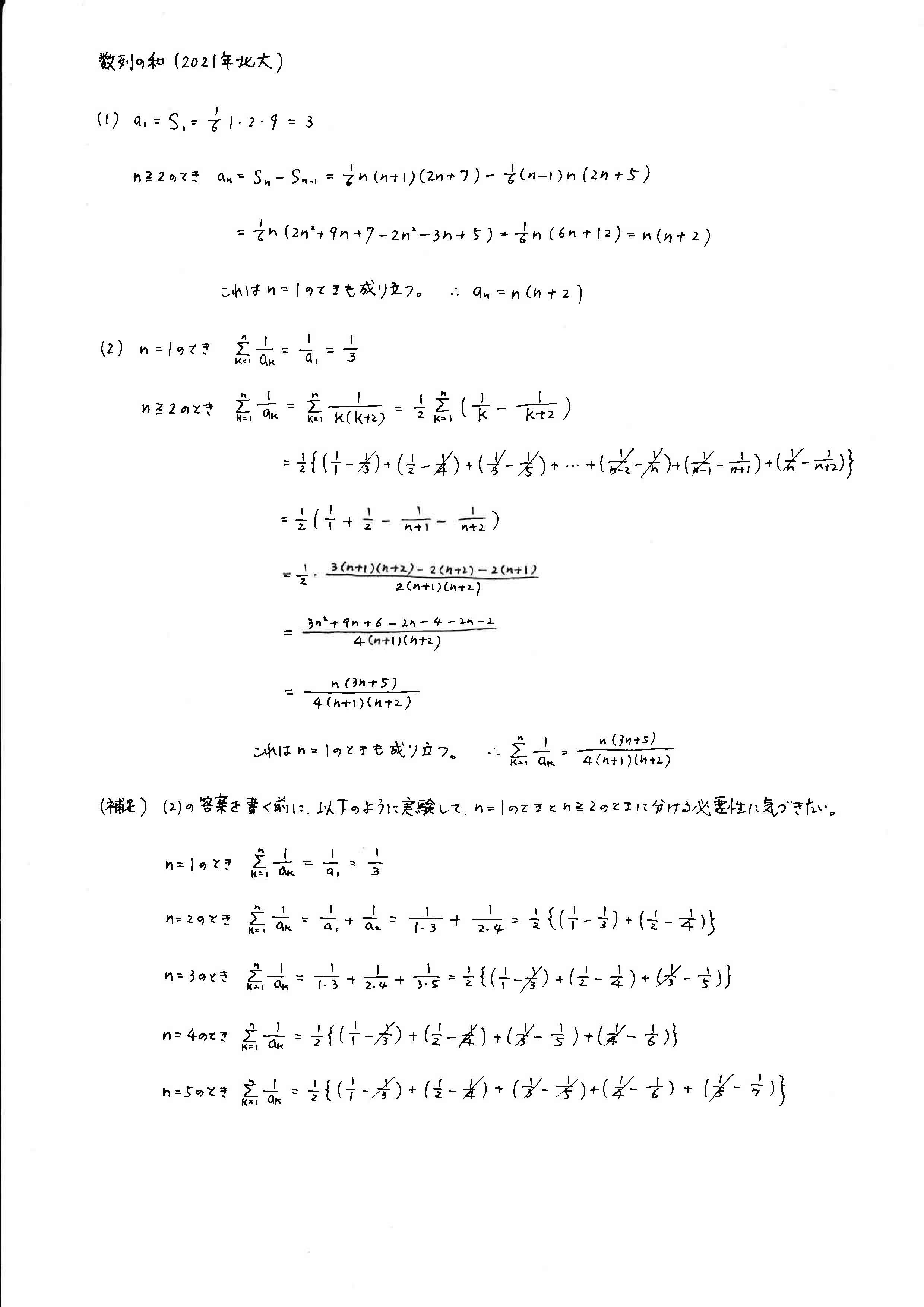
⑤ 数列
数学的帰納法、数列の極限、積分漸化式、複素数列、確率と漸化式が出題される。
複数分野にまたがる融合問題に対応できるようにしたい。
北大理系数学 入試対策
2問を完答し他の3問で部分点を集めて6割(医学部医学科・獣医学部は3問完答で8割)を超えれば合格ラインです。
高3の夏までに網羅系教材(以下の①と②)で定石を身につけ、秋以降に入試対策問題集で定石を組み合わせる訓練を積みましょう。
① 『基礎からの数学』(数研出版)
北大が求める総合力を培うために、教科書傍用問題集よりもこちらに重点を置きたい。
授業の予習でレベル2、復習でレベル3の計算問題を解く。
実力テストや模試の前にレベル4以上やEXERCISESにも着手するとよい。
② 『1対1対応の演習』(東京出版)
青チャートに集中すれば相当な力がつくが、高得点を目指す人はこちらも併用したい。
新しい視点が得られ、本質的な理解が深まる。
③ 『理系数学 入試の核心 標準編』(Z会出版)
高3の夏から秋にかけて、この教材に取り組んで入試レベルに順応したい。
1日2~3問ずつコンスタントに解くと、応用力が飛躍する。
④ 『北大の理系数学 15ヵ年』(教学社)
高3の9月に始めて11月に終えるのが理想。
解けない問題が続いても落胆せず、丁寧に解説を読んで攻略ポイントを見極める。
入試で後回しにすべき難問もあるので、難易度を見抜く目を養いたい。
⑤ 広島大・千葉大・神戸大の赤本(教学社)
共通テスト後は、近いレベルの大学の過去問を解くとよい。
5問を選び120分で解く「セルフ模試」を行うと実践力が強化される。
他教科の弱点を数学でカバーしたい人は、より難しい九大や東北大にも挑みたい。
北大文系数学
出題傾向
大問4題を90分で解きます。
正攻法で勉強した人だけが完答できる良問の宝庫です。
手堅く計算を進めて穴のない答案を書く力が求められます。
出題が続いている分野と典型題を以下に示します。
① 微積分
接線に関する問題、増減表を書く問題、曲線が囲む部分の面積を求める問題が多い。
1/3公式や1/6公式を使う問題では確実に点を取りたい。
④ 数列
数列の和と漸化式が多く、群数列や格子点も出題される。
解法パターンは限られているので、短期間の集中演習で攻略したい。
北大文系数学 入試対策
2問を完答し、他の2問で部分点を取れば合格ラインです。
高3の夏までに青チャートで基礎を固め、秋以降に入試対策問題集で応用力を鍛えましょう。
① 『基礎からの数学』(数研出版)
定期テスト前までにレベル3の計算問題を確実に解けるようにする。
苦手な人は『解法と演習』を使用してもよい。
② 『文系数学 入試の核心』(Z会出版)
厳選された100問には、北大レベルを超える難問も含まれている。
手が動かない時は解答を読んで理解し、解答を閉じて答案を書く。
③ 北大の赤本(教学社)
高3の9月に始めて出題傾向と難易度を把握する。
模範解答を熟読して答案作成力を磨きたい。
③ 広島大・千葉大・神戸大の赤本(教学社)
北大の赤本をある程度終えた段階で、近いレベルの大学の過去問を解くとよい。
数学を得点源にしたい人は、九大や東北大の問題で鍛えたい。
勉強法について
アクセス
- 名称
- 数学専門・個別指導塾
アンビシャス
- 所在地
- 〒062-0043
札幌市豊平区福住3条3丁目10-10 第2サンワコーポ201
- アクセス
- ■地下鉄
東豊線福住駅から徒歩13分
■バス
中央バス(美しが丘線)「福住3条3丁目」から3分
- TEL
- 011-854-8025











